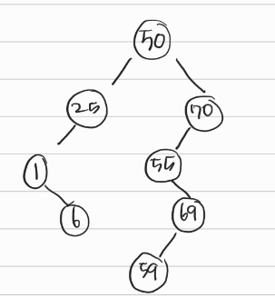
2진트리 Binary Tree
이진트리는 여러개의 노드(node)가 트리형태로 연결된 구조
루트(root) 라고 불리는 하나의 노드에서 시작해 각 노드에 최대 2개의 노드를 연결할 수 있는 구조
연결된 두 노드를 부모-자식 관계에 있다고 하며
이에 있는 노드를 부모노드, 아래 노드를 자식노드라고 한다.
하나의 부모노드는 최대 두개의 자식 노드와 연결될 수 있다.
첫번째 저장하는 값은 루트 노드가 되고 두번째 값은
루트 노드에서 값의 크기를 비교하면서 트리를 따라 내려간다.
(숫자가 아닌 문자를 저장할 경우 = 문자의 유니코드값을 비교)
작은 값은 왼쪽에, 큰 값은 오른쪽에 저장
이렇게 구성하면 왼쪽 마지막 노드가 제일 작은 값
제일 큰 값이 오른쪽 끝에 위치하게 된다.

TreeSet
이진트리를 기반으로 한 set
하나의 노드는 노드 값인 value와
왼쪽과 오른쪽 자식 노드를 참고하기 위한 두개의 변수로 구성되어 있다.
TreeSet에 값을 저장하면 자동으로 정렬된다.
부모 값과 비교해서 낮은 것은 왼쪽에, 높은 것은 오른쪽에 저장
- first() 가장 작은 값 리턴
- last() 가장 큰 값 리턴
- lower(v) v보다 작은 바로 아래 값 리턴
- higher(v) v보다 바로 위의 객체 리턴
- floor(v) v와 동등한 객체가 있으면 리턴, 없으면 바로 아래 값 리턴
- ceiling(v) v와 동등한 객체가 있으면 리턴, 없으면 상위 객체 리턴
- pollFirst() 제일 낮은 객체를 꺼내오고 컬렉션에서 삭제
- pollLast() 제일 높은 객체를 꺼내오고 컬렉션에서 삭제
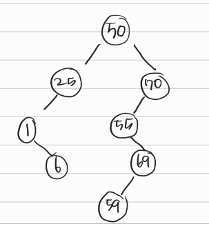
EX01
package jun16;
import java.util.TreeSet;
public class BinaryTree {
public static void main(String[] args) {
TreeSet<Integer> ts = new TreeSet<Integer>();
ts.add(50);
ts.add(25);
ts.add(70);
ts.add(55);
ts.add(1);
ts.add(69);
ts.add(6);
ts.add(59);
System.out.println(ts.first()); //1
System.out.println(ts.last()); //70
System.out.println(ts.higher(51)); //55
System.out.println(ts.floor(25)); //25 (?)
System.out.println(ts.size()); //8
System.out.println(ts); //[1, 6, 25, 50, 55, 59, 69, 70] //자동 오름차순정렬
System.out.println("---------------------------");
while (!ts.isEmpty()) {
System.out.println(ts.pollFirst());
}
System.out.println("---------------------------");
}
}
출력결과:
1
70
55
25
8
[1, 6, 25, 50, 55, 59, 69, 70]
---------------------------
1
6
25
50
55
59
69
70
---------------------------
→ .pollFirst()에 의해 작은 값부터 출력된다.
'BackEnd > Java' 카테고리의 다른 글
| [Java] 내부 클래스 Inner Class (0) | 2021.07.22 |
|---|---|
| [Java] 예외 Exception (0) | 2021.07.19 |
| [Java] 스택(Stack), 큐(Queue) (0) | 2021.07.19 |
| [Java] 맵 Map (0) | 2021.07.19 |
| [Java] Hash set (0) | 2021.07.19 |
댓글